Рис. 1. Графики изменения абсолютных деформаций подземных трубопроводов из поливинилхлоридных труб с SDR = 20, разных диаметров, длин и глубин заложения
Рис. 2. Графики значений М для труб разного диаметра и различной глубины заложения подземного полимерного трубопровода
Рис. 3. Графические зависимости коэффициентов Ke и Ka, учитывающих изменение модуля упругости полиэтилена низкого давления (высокой плотности) и его коэффициента термического расширения a в интервале температур
На открытых трубопроводах при соблюдении определенных правил удается снижать термические напряжения σtj практически до нуля — деформации трубопровода не должны ничем ограничиваться, и трубопровод должен иметь возможность совершенно свободно перемещаться в обоих направлениях вдоль своей продольной оси от жесткого крепления. Что касается радиальной деформации, то оболочка трубопровода не должна быть жестко охвачена посредством каких-либо хомутов.
Для реализации этих правил открытые трубопроводы прокладывают с обеспечением возможности их само-компенсации, а также устраивают на них раструбные или гнутые компенсаторы. При этом трубопровод крепится таким образом, чтобы его перемещения проходили в строго определенном направлении.
Способность поглощать свободные перемещения компенсирующих устройств принимают с учетом полной деформации трубопровода, равной произведению коэффициента термического удлинения материала трубы α, 1/°C, температурного перепада Δt, °C, и длины трубопровода L, м.Что касается поведения восстановленных полимерными трубами бестраншейных трубопроводов водоснабжения и канализации [2] при воздействии на них перепадов температур, то, к большому сожалению, в литературе никаких сведений нами не обнаружено.
Замена ветхих трубопроводов из традиционных материалов полимерными трубами может производиться с использованием нескольких способов. Один из них связывается с протягиванием в полость ветхого трубопровода полимерного трубопровода меньшего диаметра [3]. Другой предполагает введение в полость ветхого трубопровода предварительно сжатого по диаметру, как правило, полиэтиленового трубопровода с последующим восстановлением его практически прежней кругло-цилиндрической формы.
Третий производится с размещением в полости, образуемой после разрушения стенок ветхого трубопровода, полимерного трубопровода такого же либо большего диаметра. Первый способ предусматривает, что компенсация возможных температурных деформаций должна происходить так же, как и для открыто прокладываемых трубопроводов, т.е. ограничением торцов либо заполнением межтрубного пространства полимерцементным раствором, а, возможно, с использованием и того, и другого вместе.
При применении второго способа полиэтиленовые трубы, находящиеся под действием внутреннего давления напорного трубопровода, будут прижиматься к стенкам старых труб и удерживаться от возможных перемещений за счет сил трения, величина которых зависит от коэффициента трения сцепления пары «полиэтилен–металл» (сталь или чугун) fп–м.Особый интерес вызывает рассмотрение воздействия температурных перепадов на полимерные трубопроводы, смонтированные с использованием третьего способа.
Представляется, что поведение таких полимерных трубопроводов будет во многом аналогично трубопроводу, траншейно проложенному в грунте. К сожалению, единого мнения относительно поведения в грунте трубопроводов, проложенных вновь, при воздействии на них температурных перепадов, пока не сложилось, а имеющиеся соображения порой сильно расходятся [5].Одни авторы сообщают, что для подземных трубопроводов из поливинилхлоридных труб почти не характерны удлинения или укорочения.
Другие рекомендуют учитывать деформацию подземного пластмассового трубопровода. Третьи предлагают устраивать компенсаторы на пластмассовых подземных трубопроводах без учета типоразмеров труб и особенностей их прокладки. Четвертые — приводят примерную минимальную глубину заложения трубопровода, при которой достигается полное защемление полиэтиленовых труб при температурном перепаде 10 °C (глубина заложения 0,36; 0,72; 1,44 и 2,4 м соответственно для труб диаметром 150, 300, 600 и 1000 мм).
Пятые — рекомендуют при сборке раструбов подземных поливинилхлоридных трубопроводов любого диаметра выдвигать гладкий конец одной трубы из раструба другой на 10 мм после соединения их. Шестые же ограничивают вдвигание конца трубы в раструб до метки, которая неодинакова для разных диаметров, однако SDR труб и условия укладки (вид грунта, глубина заложения, методы засыпки и т.п.) не учитываются. Известно, что на подземный полимерный трубопровод оказывает защемляющее воздействие окружающий его грунт. При этом температурные напряжения, возникающие в стенках труб, воспринимаются силами сцепления, которые создаются между поверхностью трубопровода и грунтом. Напряжения в стенках трубопровода по его длине в таких случаях [4] будут различными по величине:

где N — фактор, учитывающий геометрию трубы, см–1; τij — касательные напряжения на поверхности трубопровода в iй точке по окружности в jм сечении, кгс/см2; x — расстояние от сечения с нулевым термическим напряжением до сечения, в котором определяются напряжения, см; σo — постоянная интегрирования, кгс/см2.
Анализ НДС (напряжено-деформированного состояния) подземного трубопровода, описываемого этим выражением, позволяет утверждать, что при одинаковом температурном перепаде деформация подземного трубопровода будет меньшей [5], чем у трубопровода, проложенного открыто.Уложенный в грунте трубопровод, как это видно из выражения (1), воспринимает в каждой точке своей внешней поверхности касательные напряжения τij, которые являются в смысле направления обратными температурным напряжениям в его стенках. Касательные напряжения можно представить, в зависимости от давления грунта на оболочку трубопровода pi, следующей формулой:
τi = fpi, (2)
где f — коэффициент сцепления грунта с поверхностью трубопровода. Давление грунта, которое действует на оболочку, является неравномерным по периметру трубопровода и зависит от множества факторов. К ним можно отнести: объемную массу γг и модуль деформации грунта засыпки Eг, глубину заложения трубопровода H, ширину траншеи, вид основания (плоское, профилированное либо мягкая песчаная подсыпка), способ засыпки траншеи (с уплотнением грунта либо навалом) и т.п. [4].
Такое разнообразие факторов убеждает в том, что определение τi будет всегда связано с использованием значительного количества переменных, значения которых для конкретного случая можно получить только опытным путем в процессе прокладки конкретного полимерного трубопровода. Однако, в связи с тем, что принять решение о целесообразности компенсации деформаций подземного полимерного трубопровода нужно еще до его укладки, появляется необходимость в использовании приближенных методов определения давлений грунта на оболочку трубы.
Трубопроводы, независимо от своего функционального назначения, при прокладке в грунте приобретают часть деформаций при отрицательных температурах окружающего трубопровод воздуха, т.е. в тот момент, когда трубопровод опорожнен. Для таких случаев правомерно воспользоваться эпюрами давлений, полученными экспериментально на безнапорных трубопроводах, например, из труб ПВП, имеющих жесткость Ж = 0,02 кгс/см2 и рассчитанных на рабочее давление 3,2 кгс/см2.
Обработка целого ряда экспериментальных данных позволила представить эпюру давления грунта. Использовать для расчетов данные таких эпюр, к сожалению, затруднительно, т.к. характер изменения pi при переходе от верхней точки трубопровода к нижней точке удается выразить только в полярной системе координат:

где ρ — угол между диаметрами, вертикальным и направленным к iй точке jгo сечения; po — постоянная интегрирования (давление в шелыге трубопровода в начальном сечении, кгс/см2). Анализ этой зависимости позволяет с известными допущениями представить эпюру давлений pi в более упрощенном виде. При этом можно легко вычислить среднее давление р:

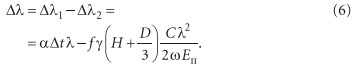
где γг — объемная масса грунта, кг/см3; Н — глубина заложения трубопровода, см; D — наружный диаметр трубопровода, см. Осредненные знания давления позволяют определять средние касательные напряжения τj, при помощи которых можно учесть влияние защемляющего действия грунта на деформацию трубопровода. Как уже отмечалось выше, проложенный свободно трубопровод будет деформироваться в обе стороны, причем на одинаковую величину Δλ1 пропорционально половине своей длины.
Деформация будет продолжаться до полного снятия термических напряжений в стенках трубопровода. В стенках же трубопровода, уложенного в земле, термические напряжения из-за действия на его поверхности касательных напряжений τi не могут быть сняты полностью. Часть их остается на протяжении всего срока эксплуатации. Они-то и будут уменьшать деформацию трубопровода на величину Δλ2, которую можно выразить через средние касательные напряжения τj:

где C — длина внешней окружности трубопровода, см; ω — площадь поперечного сечения стенки трубопровода, см2; Еп — модуль упругости материала трубы на момент определения деформаций подземного трубопровода, кгс/см2. На основе выше изложенного, абсолютную деформацию данного уложенного в земле трубопровода Δλ (с учетом защемляющего действия грунта) определяем из уравнения:

После замены в этом выражении отношения C/ω показателем SDR трубы (отношение наружного диаметра D трубы к толщине стенки δ) и введения в него показателя кольцевой жесткости G, зависимость Δλ от указанных параметров приобретает следующий вид:

Из этой зависимости видно, что увеличение кольцевой жесткости способствует снижению влияния защемляющего действия грунта на деформацию рассматриваемого трубопровода:

где E и μ — модуль упругости и коэффициент Пуассона материала трубы. Также очевидно, что деформация полимерных трубопроводов с увеличением глубины заложения уменьшается (рис. 1). Изменение деформации подземных полимерных трубопроводов, в зависимости от изменения их диаметров и глубины заложения, можно характеризовать параметром М, равным H/D. Связь между Δλ и М можно представить в виде:

Из формулы (9) следует, что с увеличением параметра М деформация подземного полимерного трубопровода должна уменьшаться. Все же будет перемещаться часть трубопровода длиной:

При этом критическая величина перемещения:

Как видно из уравнения (11), между Δλкр и Mкр существует обратная связь. Это говорит о том, что при неограниченном увеличении Mкр абсолютная деформация может уменьшаться до сколь угодно малой величины. Для трубопроводов, перемещение торцов которых не будет превышать 1 см (такое перемещение торцов подземного полимерного трубопровода допускает считать его практически полностью защемленным), Мкр примет следующий вид:

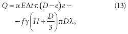
При сопоставлении значений Мкр, вычисленных по формуле (12) с данными графиков (рис. 2), удается установить, при каких диаметрах трубопроводов достигается их полное защемление, в зависимости от значений SDR труб. Для обеспечения свободных перемещений торцов самотечных трубопроводов необходимо предусматривать скользящий герметичный проход полимерных труб сквозь стенки колодцев, и устраивать соответствующим образом бетонные лотки. Надежное закрепление торцов водопроводов достигается за счет установки на них креплений, которые должны воспринимать определенные усилия Q:

где 0 ≤ l ≤ λкр. Если λ = λкр, формула (13) может быть представлена в более простом виде:
Q = 0,5αEΔtπ(D – e)e. (14)
При закреплении концов трубопровода и при его полном защемлении грунтом в стенках по всей длине будут иметь место максимальные тепловые напряжения σti. При их вычислении необходимо учитывать то, что константы материала α и E0 характеризуют материал только в условиях определенной температуры и в конкретное время после начала эксплуатации при постоянном внутреннем давлении в напорном трубопроводе.
С изменением указанных условий, изменение констант материала α и E0 подчиняется закономерностям гиперболических функций, что можно учесть, изменяя табличные значения посредством соответствующих коэффициентов Ke и Ka (рис. 3).Возможность свободных перемещений имеется также у трубопроводов, монтируемых из труб с раструбами. Уложенные в грунте, они будут деформироваться только в одну, противоположную от раструба сторону.
Это объясняется тем, что раструб имеет поверхности, расположенные в плоскости, перпендикулярной к оси перемещения трубопровода, что является достаточным для стопорения возможных перемещений в эту сторону. Расчеты, выполненные с использованием данных по вдавливанию жесткого индентора в грунтовый массив, показывают, что грунт, контактируя с этими поверхностями, способен воспринимать усилие Q от тепловых воздействий (13, 14) и, тем самым, полностью ограничивать перемещение трубопроводов в области раструбов. В таких случаях при длине трубы Lт ≥ λкр величину Δλ следует определять по формуле (11).При длине трубы Lт < λкрΔλ:

В заключение следует отметить, что комплекс вопросов, рассмотренных в данной статье, не исчерпывает всего многообразия темы, связанной с температурной деформацией подземных полимерных трубопроводов. В частности, предстоят еще исследовать некоторые параметры для выбора расчетных значений для них на уровне инженерной надежности: коэффициента сцепления полимера с грунтами f, температурного перепада для различных трубопроводных систем Δt и т.д.
Необходимо также изучить влияние радиальных тепловых перемещений оболочки полимерной трубы, уложенной непосредственно в грунте, в трубопроводе, реконструированном с использованием какого-либо из указанных в начале статьи трех методов, на продольные температурные деформации подземных полимерных трубопроводов. По мере получения результатов широкая научно-техническая общественность будет информироваться в последующих номерах журнала.