Фрагмент поверхности защищенного ингибиторами теплообменника
Макрофотография фрагмента поверхности незащищенного теплообменника с язвенной коррозией
Табл. 1. Составы и свойства модельных растворов для испытания ингибиторов
Табл. 2. Степень защиты от коррозии и солеотложений в различных условиях
Введение
Оптимальный выбор ингибитора для защиты стального оборудования от солеотложений и коррозии — актуальная задача, неоднократно обсуждавшаяся в литературе, включая журнал «Новости теплоснабжения» [1, 2].В настоящее время, в связи с существенной девальвацией рубля, неизбежен рост эксплуатационных затрат у предприятий, использующих для подготовки воды импортные реагенты.
Это ведет к росту себестоимости вырабатываемой тепловой энергии и, как следствие, к росту тарифов, которые формально «экономически обоснованы» необходимостью закупки импортных расходных материалов. В то же время такой рост тарифов не обоснован, ибо его можно полностью избежать, замещая импортные реагенты на российские при достижении сопоставимого или лучшего технического результата.
Использование отечественных реагентов позволит снизить себестоимость вырабатываемой тепловой энергии, а, значит, позволит удержать рост тарифов. Целью настоящей работы было проведение сравнительного исследования продукта «Гилуфер422», выпускаемого германской компанией BK Giulini Chemie GmbH & Co. OHG, с отечественным ингибитором «Оптион313», выпускаемым ООО «Экоэнерго» (г. Ростов-на-Дону) в идентичных условиях при контроле воспроизводимости экспериментальных данных.
Испытанные ингибиторы
Для исследования был закуплен препарат «Гилуфер-422» по цене 600 руб/кг(при действовавшем тогда валютном курсе 23 руб. за доллар США). Он представляет собой бесцветную прозрачную жидкость со слабым запахом, напоминающим запах фосфина. Продукт при хранении стабилен, при отстаивании и фильтровании образца препарата образования какого-либо осадка не замечено. По своему химическому составу «Гилуфер-422» представляет собой водный раствор натриевых солей фосфонобутантрикарбоновой кислоты и поликарбоксилатов натрия:

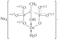
Для сравнения взят препарат «Оптион-313», поставляющийся в виде порошка и представляющий собой химически индивидуальный оксиэтилидендифосфонатоцинкат натрия, который в ранее проведенных испытаниях показал высокую степень защиты стали от коррозии и солеотложений [2, 3].

Условия испытаний
Для проведения испытаний были приготовлены два раствора в соответствии с ГОСТ 9.502–82, моделирующих различные распространенные типы природных вод (см. табл. 1). Раствор №1 моделирует мягкую умеренно коррозионную воду поверхностных источников, а раствор №2 — жесткую коррозионно-активную артезианскую воду. Опыты проводили при различных концентрациях каждого из ингибиторов и при различных температурах в каждом из двух модельных растворов.
В испытаниях при температуре 75 °C моделировали поведение ингибиторов в системах горячего водоснабжения. В связи с этим были выбраны два значения концентрации: равное предельно допустимой концентрации (ПДК) данного ингибитора в питьевой воде и 3 мг/дм3, приблизительно равное половине ПДК для большинства ингибиторов. В испытаниях при 150 °C моделировали режимы систем теплоснабжения.
Поэтому для проведения опытов при температуре 150 °C в модельном растворе №2 была выбрана иная шкала концентраций ингибиторов, нежели в остальных экспериментах. Это объясняется тем, что данный температурный и концентрационный режим характерен для закрытых тепловых сетей с подпиткой жесткой водой из артезианских источников.
Для таких тепловых сетей значение ПДК ингибитора не имеет существенного значения, кроме того, дозировка ингибитора в воду с высокой жесткостью при высокой температуре должна быть значительно больше, чем в иных условиях, чтобы можно было достоверно наблюдать и количественно регистрировать эффект ингибирования.
Для проведения испытаний был избран, в соответствии с указаниями ГОСТ 9.506–87, гравиметрический метод, который обеспечивает получение количественной оценки защитной способности ингибиторов, в то время как альтернативный электрохимический метод пригоден лишь для качественной предварительной оценки защитной способности ингибиторов.
Испытания проводили в статических условиях в герметизированных высокотемпературных коррозионных автоклавных ячейках [2], способных длительно выдерживать внутреннее давление без утечки исследуемой среды. Это позволило моделировать коррозионные процессы в условиях, максимально приближенных к условиям тепловых сетей, подпитываемых водой с известным начальным содержанием кислорода, который потом постепенно расходуется в катодном процессе с кислородной деполяризацией при отсутствии газообмена с окружающей средой.
Для коррозионных испытаний были изготовлены образцы из горячекатаной листовой стали марки ВСт.3сп с контролем химического состава по ГОСТ 380–94, ГОСТ 19903–74. Подготовка образцов проводилась в соответствии с ГОСТ 9.502–82, ГОСТ 9.506–87. Для проведения испытаний была использована методика работы [2].Эффективность ингибиторов «Гилуфер422» и «Оптион313» сравнивали по следующим критериям:
- размеры очагов коррозии и их количество на единицу площади;
- степень защиты от коррозии, %:

где V1кор — средняя скорость коррозии в ячейке с коррозионной средой без добавки ингибитора (в холостом опыте), мм/год; Vкор — средняя скорость коррозии в ячейке с коррозионной средой с добавкой ингибитора, мм/год; - степень защиты от солеотложений, %:

где ЖСа0 — кальциевая жесткость модельного раствора, определяемая перед началом эксперимента, мг÷экв/дм3;
ЖСа1 — кальциевая жесткость водной среды в ячейке по завершении испытания без добавки ингибитора (в холостом опыте), мг÷экв/дм3; ЖСа — кальциевая жесткость водной среды в ячейке по завершении испытания с добавкой ингибитора, мг÷экв/дм3.
Результаты испытаний
Результаты экспериментов по определению степени защиты от коррозии в двух модельных растворах при всех условиях, приведенных в табл. 1, для исследованных образцов ингибиторов «Гилуфер422» и «Оптион313» — см. табл. 2. Можно сделать вывод, что оба исследованных ингибитора обеспечивают одинаково высокую (в пределах статистической погрешности) степень защиты от солеотложений.
Что же касается защиты от коррозии, то нельзя не заметить, что при малой жесткости воды ингибитор «Гилуфер422» показывает отрицательные значения степени защиты Zкор. Анализируя формулу (1), можно придти к выводу, что скорость коррозии в присутствии ингибитора выше, чем в контрольном опыте, т.е. в мягких водах ингибитор «Гилуфер422» стимулирует коррозию.
В жесткой воде ингибитор «Гилуфер422» показывает положительную, хотя и невысокую, степень защиты стали от коррозии. Осмотр поверхности образцов показал, что характер развития коррозионного процесса при отсутствии ингибитора и в присутствии различных ингибиторов различен.В отсутствии ингибитора коррозионный процесс захватывает всю поверхность образца, кроме того, на этой равномерно корродированной поверхности отмечаются неглубокие язвы площадью от нескольких квадратных миллиметров до нескольких квадратных сантиметров, среднее число язв на 1 см2 поверхности образца на различных образцах различно и составляет от 0,3 до 4 язв/см2.
В присутствии ингибитора «Оптион313» подавляется как равномерная, так и язвенная коррозия. В присутствии этих ингибиторов отмечены лишь единичные язвы небольшой глубины на образцах, подвергнутых коррозии при концентрации ингибитора 3 мг/дм3. Площадь язв не превосходила 3 мм2, а их среднее число на 1 см2 поверхности образца не более 0,1 язв/см2 (в среднем, 1 язва на 10 мм2).
При концентрации ингибитора 10 мг/дм3 и более язвы на образцах не наблюдались. Отмечена незначительная равномерная коррозия. В присутствии ингибитора «Гилуфер422» коррозионный процесс сильно развит во всех случаях. При малой жесткости воды (модельный раствор №1) коррозионный процесс имеет равномерный характер, что, по-видимому, объясняется интенсивным отводом ионов железа от анодных участков за счет комплексо-образования с фосфоно-бутантрикарбоксилатанионами.
Можно заключить, что в водах малой жесткости ингибитор «Гилуфер422» стимулирует коррозию. При высокой жесткости воды (модельный раствор №2) коррозионный процесс менее интенсивен, однако он характеризуется явно выраженными язвами площадью 1–3 мм2, средним числом 0,5–5,0 язв/см2. Значительно меньшая эффективность ингибитора «Гилуфер422» по сравнению с ингибитором «Оптион313» объясняется отсутствием в его составе цинковых органофосфонатных комплексов, способных к образованию защитной пленки на поверхности металла.
Это полностью подтвердилось при исследовании образцов методом сканирующей электронной микроскопии с микрозондовым анализом. На поверхности образцов, подвергнутых испытаниям с ингибитором «Оптион-313» производства ООО «Экоэнерго», частицы цинка распределены в основном равномерно, при этом они тяготеют к вер шинам и ребрам пирамид травления.
На поверхности же образцов, подвергнутых испытаниям с ингибитором «Гилуфер-422», частиц цинка не наблюдается. Однако в воде с высокой жесткостью ингибитор «Гилуфер-422» показал некоторую (хотя и невысокую) степень защиты от коррозии. При этом на поверхности образцов обнаружено некоторое количество фосфора. Это позволяет заключить, что ингибирующее действие препарата «Гилуфер-422» обусловлено образованием поверхностных комплексов фосфоно-бутантрикарбоксилата с ионами железа.
Отметим, что этот результат полностью согласуется с ранее полученными данными [4] о высокой эффективности фосфонато-цинкатных ингибиторов в присутствии растворенного кислорода.
Выводы
В условиях проведенных испытаний эффективность защиты стали от коррозии в водных средах как с малой, так и с высокой жесткостью при использовании отечественного ингибитора «Оптион313» значительно выше, чем при использовании импортного ингибитора «Гилуфер422». Как отечественный, так и импортный препарат обеспечивают в равной мере высокую степень защиты от солеотложений.
При этом при выборе ингибитора для практического использования следует учесть, что импортный препарат «Гилуфер-422» существенно дороже, чем отечественный «Оптион-313». Экспертным заключением от 23.01.08 №188 ГУ НИИ медицины труда РАМН и санитарно-эпидемиологическим заключением от 29.05.08 №77.99.27.243.Д.005420.05.08 препарат «Оптион313» допущен в качестве антинакипной и противокоррозионной добавки для воды закрытых и открытых систем теплоснабжения, систем горячего водоснабжения и другого теплоэнергетического оборудования.