Табл. 1. Значения коэффициентов, характеризующих поток стоков при различных наполнениях самотечных канализационных трубопроводов
Табл. 2. Толщина слоя осадка, δос, по данным Академии коммунального хозяйства им. К.Д. Памфилова
Табл. 3. Значения параметра К
Естественно, возводимые вновь здания имеют и водопровод и канализацию. И естественно то, что специальных канализационных трубопроводов (здесь имеются в виду подземные сети) для них как правило не строится. Стоки от таких зданий сбрасываются в уже существующую канализацию. Вполне естественно задаться вопросом: как будут сказываться на работе существующей канализации увеличенные, q2, расходы стоков по сравнению с ранее транспортируемыми стоками, q1?
Ведь вновь возводимые здания иногда достигают многих десятков этажей, и по этой причине сброс от них стоков будет эквивалентен сбросу от нескольких рядом находящихся домов, то есть увеличение расходов стоков порой может быть значительным [1]. При увеличенном расходе стоков наполнение, (H/D)2, канализационного трубопровода превышает расчетное наполнение, (H/D)1, которое было принято при проектировании канализационной сети.
Наибольшие расчетные наполнения (H/D)1 (согласно СНиП [2] 0,6 — для диаметров 150 и 200 мм; 0,7 — 300 и 400; 0,75 — от 450 до 900 и 0,8 — для больших диаметров) предусматривались на расчетный период действия канализации [3]. То есть в данном случае этот принцип нарушается. Каковы же последствия этого нарушения для работоспособности существующей канализации?
Достаточно убедительный ответ на такой вопрос мог бы быть получен от организаций, эксплуатирующих канализационные сети (в г.Москве — это ГУП «Мосводоканал»). Однако по состоянию на сегодня этого будет явно недостаточно, так как их практический опыт еще невелик. Поступление расхода, qд, дополнительного к проектному расходу, qпр, приведет к увеличению наполнения самотечного канализационного трубопровода.
Это повлечет за собой увеличение средней скорости течения стоков, V, количества движения потока, θ, и усилий сдвига, G. Проанализируем некоторые особенности, отражающие работу современного самотечного канализационного трубопровода, когда в него сбрасываются дополнительные к расчетным расходам стоки.
Одной из таких особенностей, естественно, является то, что при проведении гидравлических расчетов проектировщиками, как правило, предусматривалось возможное развитие канализационной сети и по этой причине значения расчетных наполнений принимались с некоторым резервом. Известен даже тот факт, что на практике большинство трубопроводов раздельных систем водоотведения запроектированы на полное наполнение труб, H/D = 1, при скорости V = 1 м/с, а расчетный расход принят со 100%-м резервом пропускной способности, т.е. фактически при максимальном расчетном расходе принималось наполнение труб H/D = 0,5.
Сейчас это резервное наполнение самотечного канализационного трубопровода используется, вполне возможно, что даже с некоторым превышением. Другая особенность обусловлена тем, что в городскую канализацию сбрасываются стоки от промышленных предприятий. В настоящее время многие из них либо вынесены за пределы города, либо не функционируют вообще.
В этой связи количество поступающих в самотечные канализационные трубопроводы стоков уменьшилось, естественно, снизилось и их заполнение. Третьей особенностью является то, что как на холодном, так и на горячем водопроводах стали применяться квартирные водосчетчики. Это приводит к снижению отбора воды и, как следствие этого, снижается и сброс стоков во внутреннюю канализацию.
При проектировании коммунальных трубопроводов расчетное водопотребление в Советском Союзе предусматривалось с ростом на перспективу, в действительности оно меньшее, а впоследствии может снизиться и еще более существенно [4] — четвертая особенность. Известно, что многие городские самотечные канализационные трубопроводы, прослужившие не один десяток лет сверх расчетного срока эксплуатации, находятся в ветхом состоянии.
По этой причине через разрушенные стенки и неплотности в стыках на некоторых участках канализационной сети постоянно происходит утечка (инфильтрация) стоков в грунт и поступление (эксфильтрация) грунтовых вод, с этим связаны пятая ишестая особенности. Седьмая особенность увязывается с изменением кинетичности Wi потока стоков [5], сопровождающее всякое колебание наполнения самотечного канализационного трубопровода.
Новое наполнение (H/D)н самотечного канализационного трубопровода в случае поступления дополнительных расходов стоков превышает расчетное (H/D)р. При этом также повышается кинетичность потока стоков, то есть Wн > Wр. Это можно учесть [6] посредством коэффициента γj, показывающего отношение средних кинетических энергий потока сточной жидкости при частичных и полном заполнениях. При этом значения (табл. 1) коэффициента γj можно определить по формуле

где βчи βп— отношение скоростей при частичном и полном наполнениях (βп= 1). Соотношение кинетических энергий потоков стоков при новом и старом наполнениях определяются по формуле
γj= βнβс/2, (2)
Переход от одного наполнения, например,H/D = 0,5 к другому наполнению H/D = 0,6 (см. табл. 1) кинетичность потока стоков повышается примерно на 15% (см. строку 3, столб. 3— γj= 1 и столб.4— γj= 1,145), за счет изменения скорости течения стоков (см. строку 2). При этом вынос имеющегося в самотечном канализационном трубопроводе осадка (табл. 2) будет проходить более интенсивно.
Такое изменение кинетичности потока стоков происходит вследствие изменения внутреннего диаметра трубопровода, которое сопровождает реконструкцию ветхой канализации, например, при бестраншейной замене старых труб новыми полимерными трубами [8]. В данном же случае диаметр, D, самотечного канализационного трубопровода остается без изменения, изменяется только расход, q. Изменяется поэтому также и количество движения, θi, потока стоков (восьмая особенность). Это можно учесть соответствующим коэффициентом (табл. 1, строка 4)
γθi =θс/θн = αjβj, (3)
где θс и θн — количество движения потоков стоков при старом и новом наполнениях самотечного канализационного трубопровода. Из табл. 1 также следует, что переход, например, от наполнения H/D = 0,5 к наполнению H/D = 0,6 за счет увеличения расхода стоков (см. строку 4, столб. 3 и 4) повышается количество движения потока стоков примерно на 26% (см. строку 4, столб. 3— γθi= 0,5 и столб.4— γθi= 0,76).
Это, естественно, будет также способствовать более интенсивному выносу осадка из самотечных канализационных трубопроводов. С аккумулирующей емкостью Qак. Е самотечной канализационной сети связывается девятая особенность. Аккумулирующая емкость раньше при проектировании не учитывалась. Дело в том, что гидравлический расчет канализационных трубопроводов производился по величине максимального секундного расхода сточной жидкости.
Определение этой величины регламентировалось нормами СНиП П-30–76 «Внутренний водопровод и канализация зданий. Нормы проектирования» и базировалось на вероятности действия санитарно-технических приборов, что справедливо только для систем водоснабжения, характеризующихся неразрывностью потока воды.
Однако в системах канализации зданий преобладают залповые поступления стоков, трубопроводы же имеют аккумулирующую емкость, что способствует снижению по длине трубопровода величины секундного расхода стоков, первоначально поступающей в него. И получалось так, что при проектировании принимались расходы, qmax, значительно большие действительных, qрасч.
Это подтверждено экспериментально в лабораторных условиях [7]. Установлено, что, если на входе в трубопровод диаметром D = 104 мм (уклон I = 0,026) расход стоков составляет qmax = 9,6 л/с, то уже на расстоянии λ= 111,5D от входа расход стоков снижается до qрасч = 3,6 л/с. То есть происходит уменьшение расхода стоков на 62,5%. К сожалению, на сегодня закономерности аккумулирующей емкости самотечных канализационных трубопроводов мало изучены.
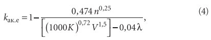
Тем не менее, согласуясь с результатами исследований русского ученого-гидравлика, к.т.н. А.Я. Добромыслова, можно учесть аккумулирующую емкость самотечных канализационных трубопроводов посредством коэффициента, kак.е, понижающего расчетный расход, qmax:

где n — коэффициент шероховатости (по акад. Н.Н. Павловскому) трубопровода с учетом вида труб (бетонных и железобетонных — 0,014; керамиковых и чугунных — 0,013; асбестоцементных и стальных — 0,012; полимерных — 0,01);К — параметр, учитывающий наполнение трубопровода (табл. 3); V— средняя скорость течения стоков, м/с; λ— длина трубопровода, м.
Следует иметь в виду то, что величина секундного расчетного расхода окончательно формируется на длине трубопровода, примерно равной 110 его диаметрам, т.е. на этой длине секундный расход становится минимальным и постоянным. Поэтому при расчетах по формуле (7) следует принимать λравной 110 диаметрам трубопровода в тех случаях, когда фактическая длина больше или равна этой величине; если же она меньше 110D, следует принимать фактическую длину.
В качестве примера рассмотрим самотечный канализационный трубопровод: коэффициент шероховатости n = 0,01, внутренний диаметр 152,8 мм (трубы из НПВХ), наполнение H/D = 0,6, длина между колодцами 20 м (расстояние между выпусками, входящими в смежные смотровые колодцы), что составляет 100 диаметров, то есть меньше 110D, скорость течения стоков 1 м/с (qmax = 11,5 л/с, I = 0,006 [8]).
В результате подсчетов по (4) получаем значение kак.е = –0,67. Отрицательное значение коэффициента означает, что канализационный трубопровод на этом участке является безрасчетным. Увеличение расхода стоков за счет приема их от вновь построенного здания вряд ли будет сопровождаться какими-либо негативными последствиями для полимерного подземного канализационного трубопровода, диаметр которого был ранее подобран в соответствии со СНиП П-30–76.
В качестве второго примера рассмотрим другой самотечный канализационный трубопровод: коэффициент шероховатости n = 0,013, внутренний диаметр 0,2 м (керамиковые трубы),наполнение H/D = 0,6, длина между колодцами 8 м (расстояние между выпусками, входящими в смежные смотровые колодцы), что составляет 40 диаметров, т.е.меньше 110D, скорость течения стоков 0,91 м/с (qmax = 17,91 л/с, I = 0,007 [9]). В результате подсчетов по (4) получаем значение kак.е = 0,079.
Из этого следует, что в рассмотренном примере расчетный расход составляет всего 7,9% от принимаемого в соответствии со СНиП П-30–76, а увеличение расхода стоков за счет приема их от вновь построенного здания вряд ли будет сопровождаться какими-либо негативными последствиями для полимерного подземного канализационного трубопровода, диаметр которого был ранее подобран в соответствии со СНиП П-30–76.
Десятая особенность учитывает изменение средних скоростей течения стоков при изменении заполнения самотечного канализационного трубопровода (см. табл. 1, строка 2). Известно, что за рубежом надежно работают многие самотечные канализационные трубопроводы, для которых при проектировании выбран критическим показателем минимальный гидравлический уклон
Imin = G/(ργR), (5)
где G — усилие сдвига («сила влечения»), действующее на вещества, выпадающие в трубопроводе в осадок, Па, обычно для трубопроводов из традиционных материалов принимается 4 Па (для полимерных труб — от 1,5 до 2,5 Па); ρ— объемная масса сточной жидкости, кг/м3; γ— ускорение свободного падения, м2/с; R — гидравлический радиус. Путем соответствующего (5) преобразования (10) с заменой гидравлического уклона коэффициентом гидравлического сопротивления l:
G = 0,25ρλV2, (6)
где V— средняя скорость течения стоков, м/с. Из (6) следует, что увеличение скорости за счет увеличения расхода стоков повлечет за собой также увеличение и усилия сдвига G. Переход от наполнения H/D = 0,5 к наполнению H/D = 0,6 будет сопровождаться увеличением Vо на 7% (см. строку 2, столб. 4 — β= 1 и 5 — β= 1,07), а G примерно на 15%. (Объемная масса стоков ρ не зависит от изменения скорости.
Незначительное изменение скорости практически не влияет на величину коэффициента гидравлического сопротивления по длине трубопровода λ.) С учетом рассмотренных факторов, увеличение расхода стоков можно считать благоприятным моментом для самотечных канализационных трубопроводов. К сожалению, в статье не показано взаимное влияние рассмотренных десяти современных особенностей самотечных канализационных трубопроводов друг на друга.
На данном этапе разработанности проблемы сделать это, к сожалению, не представляется возможным. Это можно будет осуществить только после проведения специального теоретического обобщения с непременным учетом натурных данных по эксплуатации таких самотечных канализационных трубопроводов.
ГУП «НИИ Мосстрой» приступает к разработке методики, используя которую, можно будет как-то учесть особенности самотечных канализационных трубопроводов для каждого конкретного канализационного участка, перед тем как позволить подключиться к самотечному канализационному трубопроводу новым потребителям.
В заключение следует указать на то, что для сохранения высокой работоспособности в случае подключения к действующей подземной самотечной канализации новых пользователей, чтобы не допустить ухудшения ее работы, должны тщательно учитываться особенности самотечных канализационных трубопроводов, в т.ч. выделенные десять современных особенностей. Это должно способствовать изысканию более доступных для застройки площадей с тем, чтобы можно было выйти на 1 м2 вводимого ежегодно в строй жилья на одного жителя Российской Федерации, как это провозгласил Президент страны в Послании 2007 г.